對于電力電纜配電距離問題,業內研究較多,通常從短路故障保護靈敏度和電壓降兩方面綜合考慮電力電纜截面和配電距離。但是,電氣設備的控制回路是特殊的配電線路,它的負載性質與一般的配電線路有所不同。常用電氣設備控制回路的負載一般由接觸器線圈、繼電器線圈、信號燈及各種開關、觸點本身阻抗等組成。盡管在控制過程中,隨著觸點的接通或斷開,它的負載阻抗是有變化的,但是它的負載阻抗(在穩定狀態)是明確的,是一個相對穩定值。故在一般情況下,其配電負荷小,不存在過負荷問題,配電距離與電壓降關系不大。二次回路的可靠工作還與控制電纜線路電容電流有關,過長的配電距離會造成觸點拒動或誤動作。另外,長距離配線的電流測量回路由于阻抗過大,會造成電流互感器測量誤差過大。
筆者尚未看到從二次回路控制電纜接地故障的技術要求角度討論其配電距離的研究文獻。由于熔斷器具有良好的短路保護作用,二次回路通常采用小容量熔斷器進行保護,能否滿足短路保護靈敏度要求尚未可知。本文針對不同熔斷器的容量選擇,對應控制電纜不同線芯截面選型,研究其配電距離。
根據二次回路控制電纜配電距離相關研究成果,總結配電距離校驗方法如下。
參照《工業與民用供配電設計手冊》(4版,以下簡稱”4版《手冊》”)P1106公式,可按照下式校驗控制線路長度:
式中:Lmax1——按接觸器可靠吸合計算的導線長度,m;
Un——控制線路標稱電壓,V;
Δu——控制線路單位長度電壓降,V/(A·km);
Pa——接觸器線圈吸合功率,VA。
對同一種控制電纜,在控制電壓及合理壓降范圍內,接觸器線圈吸合功率越大,控制線路允許導線長度越短;對相等的接觸器線圈吸合功率,電纜截面積越大,接觸器可靠吸合的控制線路允許長度越長。
參照4版《手冊》P1105公式,可按照下式用線路電容校驗控制線路長度:
式中:Lmax2——控制線路臨界長度,km;
Ph——接觸器或繼電器的保持功率,VA;
C——單位長度線路電容,μF/km。
對同一種控制電纜,在控制電壓及長度線路電容已知的情況下,接觸器線圈保持功率越大,接觸器可靠斷開的控制線路允許長度越長。
參照4版《手冊》P761公式,可按照下式計算:
式中:Lmax3——控制線路臨界長度,m;
S——保護導體的截面積,mm2;
γ——電導率,銅取57×106S/m;
Zbn——電流互感器所選準確級下允許的二次負荷,當忽略電抗時僅計電阻時為Rbn,Ω;
Zmr——測量表計的負荷,Ω;
Rt——接觸電阻,一般取0.05~0.1Ω;
Kcon1、Kcon2——導線接線系數,儀表或繼電器接線系數,參見4版《手冊》P749表8.3-5。
在工程實際中,終端電流表指示是否準確與互感器選擇(額定二次電流、額定二次負載容量)、控制電纜截面及控制電纜長度等因素有關。當控制電纜截面為一定值時,這時控制電纜長度就需要根據實際情況選擇不同參數的電流互感器,才能使終端電流表顯示符合規范要求。
接地故障持續時間不超過5 s時,按GB 50054-2011《低壓配電設計規范》第6.2.3條規定,短路時絕緣導體的熱穩定要求其截面應該滿足下式要求:
式中:S——保護導體的截面積,mm2;
I——通過保護電器的預期故障電流或短路電流方均根值,A;
t——保護電器自動切斷電流的動作時間,s;
k——根據導線和絕緣不同決定的系數。
工程設計中接地故障校驗計算用式(4)以確定線路導體截面積和保護電器的參數。
假設在圖1中異地控制按鈕箱K點發生接地故障,滿足自動切斷電源的TN系統接地故障保護線路允許長度由4版《手冊》P965公式確定:
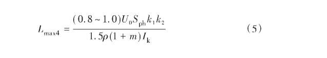
式中:Lmax4——回路允許的長度,m;
0.8~1.0——電源側阻抗系數,是考慮接地故障回路忽略變壓器阻抗和高壓側系統阻抗導致的誤差進行的修正,當故障點遠離配電變壓器,線路截面積較小、變壓器容量較大時,取高值(如0.95~1),反之,取較低值;
U0——相電壓;
Sph——相導體截面;
k1——電纜電抗校正系數,當Sph≤95 mm 2時,取1.0;當Sph為120 mm 2和150 mm2時,取0.96;當S ph≥185 mm2時,取0.92;
k2——多根相導體并聯使用的校正系數,k2=4 (n-1)/n (n≥2),單根電纜時取1;
1.5——由于短路引起發熱,電纜電阻的增大系數;
ρ——20℃時的導體電阻率,Ω·mm2/m;
m——相導體截面Sph與PE導體截面Spe之比,m的計算值應取整;
Ik——接地故障電流。
在采用熔斷器兼作接地故障保護時,根據其反時限特性,若采用式(4),控制線路允許長度校驗比較麻煩。為簡化設計,按GB/T 13539.2-2015《低壓熔斷器第2部分:專職人員使用的熔斷器的補充要求(主要用于工業的熔斷器)標準化熔斷器系統示例A到K》第5.6.3條,短路時的熔斷器截斷電流(Ik)可近似看作其門限值,額定電流(I n)符合表1,可認為滿足接地故障保護設計要求。
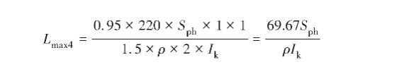
根據GB 51348-2019《民用建筑電氣設計標準》表7.4.2(導體允許截面積),控制電纜線芯截面積不應小于0.5 mm2,常見的控制電纜規格有0.5 mm2、0.75 mm 2、1.0 mm2、1.5 mm 2、2.5 mm2。采用熔斷器保護時,由于熔斷器的反時限特性,一般2.5 mm 2以下電纜,選用熔斷器16 A以下滿足熱穩定要求。因此,參數取值如下:電源側阻抗系數取0.95,U0取220 V;S ph取0.5 mm2、0.75 mm 2、1.0 mm2、1.5 mm 2、2.5 mm2;k 1取1;k2取1.0;ρ取0.017 2Ω·mm 2/m。
利用表1及式(5),用熔斷器做間接接觸防護時銅芯電纜允許長度計算參見表2。
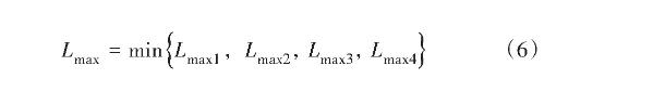
從表2可知,允許長度和熔斷器額定電流、電纜截面選型密切相關,當配電線路較長,接地故障電流較小,間接接觸防護電器難以滿足接地故障保護靈敏性的要求時,可增大控制電纜截面及縮短控制回路長度。二次控制回路導線的長度控制可用下式表示:
即控制線路的允許長度根據實際情況,應取Lmax1、Lmax2、L max3、Lmax4四者中較小值,才能滿足相關要求。

圖1 典型二次控制回路接地故障示意圖
表1 熔斷器切斷接地故障回路的動作電流數值(t≤5 s)
表2 a G/g G熔斷器做間接接觸防護時銅芯電纜允許長度(切斷時間t≤5 s)
根據GB 13539.1-2015《低壓熔斷器第1部分:基本要求》,分為專職人員使用的熔斷器(又稱工業用熔斷器)和非熟練人員使用的熔斷器(又稱家用熔斷器)兩大類型。熔斷器類型第1個字母表示分斷范圍(“g”表示全范圍分斷能力的熔斷器,“a”表示部分范圍分斷能力的熔斷器);第2個字母表示使用類別,其字母準確地規定時間-電流特性、約定時間和約定電流及門限(“G”表示一般用途;“M”表示保護電動機電路)。例如:“g G”表示一般用途全范圍分斷能力的熔斷體,一般用于線路保護;“a M”表示保護電動機電路的部分范圍分斷能力的熔斷體。控制回路中一般選擇“g G”熔斷器。
參考國標圖集16D303-2《常用風機控制電路圖》和16D303-3《常用水泵控制電路圖》,設計選用二次回路保護熔斷器RT18-32X/6A,選用規范要求的截面控制電纜時,距離約為72 m。因此,在設計大型工業與民用建筑時需要特別注意。
電纜的阻抗由電阻和電抗組成,電抗又由感抗和容抗組成。感抗的大小和線間距離有關:距離越大,感抗越大;距離越小,感抗越小。控制電纜的線間距離都較小,因此控制電纜的感抗比大截面電力電纜的感抗要小,總的阻抗也就小了,因此電流流過時產生的電壓降也就小了,故控制電纜電抗值小,占比小,可以忽略。
熔斷器具有良好的短路保護作用,熔斷器不僅具有體積小、結構簡單、維護方便、價格低廉的優點,而且分斷能力強,具有很強的限流作用。在系統設計中,如果采用熔斷器作短路保護,則可大大降低短路電流對系統所產生的動穩定、熱穩定要求,使系統設計更經濟。盡管目前微型斷路器的分斷能力很強,可以安全分斷控制回路短路電流,但由于控制回路的截面較小,而短路電流幾乎與主回路的短路電流相同,故控制回路的熱穩定性相對不太容易得到滿足。由于熔斷器以其自身產生的熱量參數確定切斷電路時間,只要合理選用就能保證在短路電流損壞線路絕緣前被切斷,故選用熔斷器作為控制回路的保護電器更具有現實意義。因此,熔斷器的短路保護性能優于低壓斷路器,更適合于控制回路短路保護
GB 16895.21-2011《低壓電氣裝置第4-41部分:安全防護電擊防護》與GB 51348-2019中,將低壓配電系統的電擊防護由直接接觸防護、間接接觸防護兩種兼有的防護,修改為基本防護、故障保護和附加防護三類。同時,對于故障情況下的自動切斷電源時間分類也做了重新規定,依據GB 16895.21-2011表41.1,對于不超過32 A的終端回路,在交流220 V的TN系統,切斷電源時間動作時間0.4 s,表2中配電距離將大大降低。本文限于篇幅未做詳細比較。
從熔斷器的額定電流選擇,對應控制電纜不同線芯截面選型,在滿足接地故障保護靈敏性要求下取其允許配電距離,對防范接地故障,保護人身安全有很重要的指導意義。同樣在選擇控制電纜時應綜合分析各方面的影響因素,采用合適的電纜長度,從而確保遠程控制線路的安全運行。
收藏河南太平洋線纜(http://m.dianlanguandao.com)了解電纜行業前言動態,聯系我們免費獲取控制電纜報價、型號規格等!
免責聲明:以上內容及圖片部分來源于網絡,版權歸原作者所有。如有侵權請聯系我們刪除。
400電話